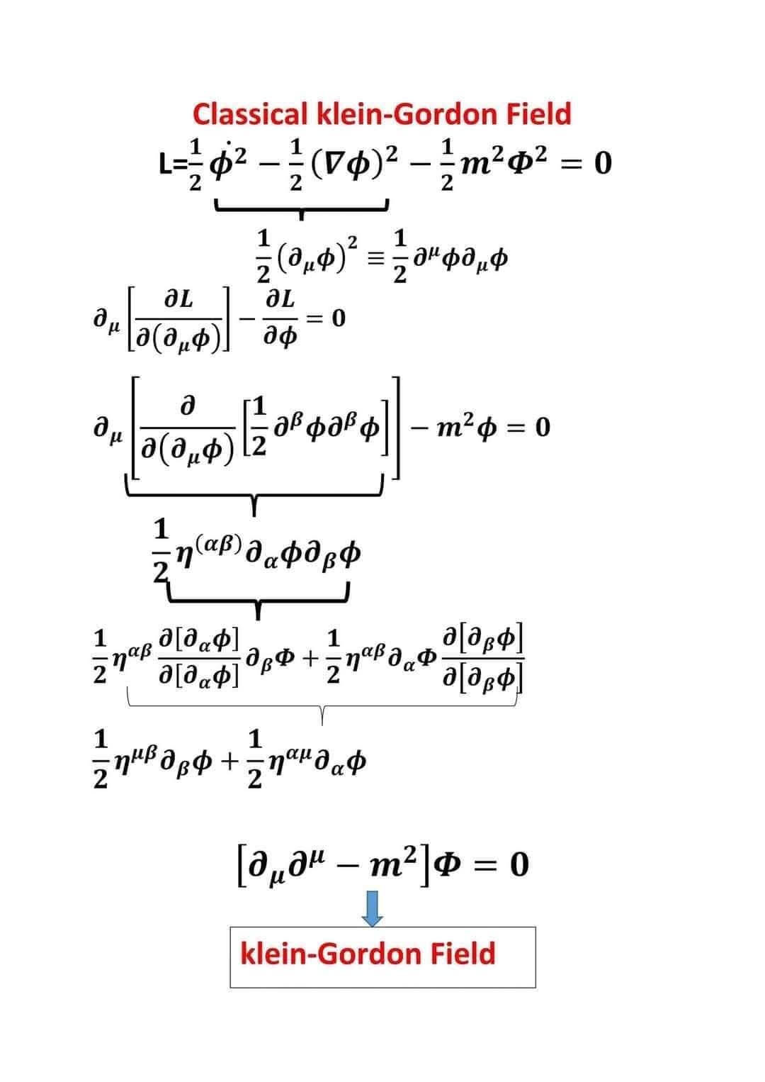
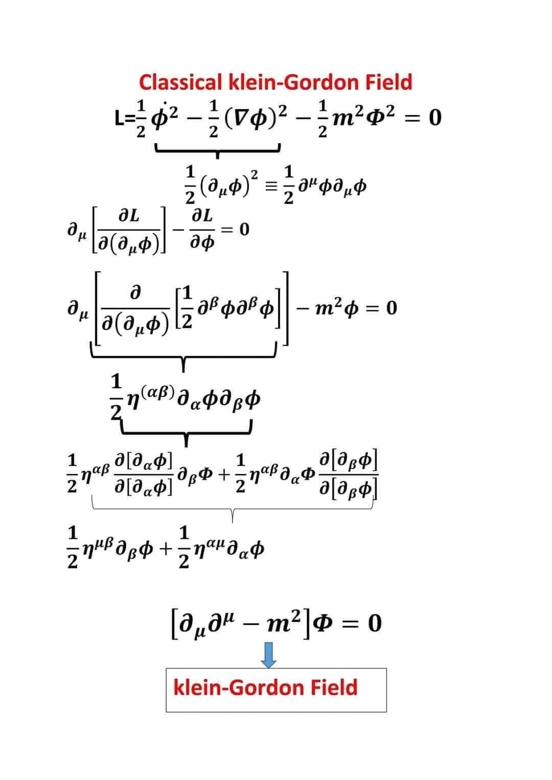
이미지는 **클라인-고든 장 (Klein-Gordon Field)**을 유도하는 과정을 보여줍니다.
클라인-고든 방정식이란?
- 상대론적 양자역학에서 스핀이 없는 입자를 기술하는 파동 방정식입니다.
- 디락 방정식과 함께 상대론적 양자역학의 기본 방정식 중 하나입니다.

이미지 내용 분석:
1. 라그랑지안 밀도 (Lagrangian Density): 이미지 상단에 클라인-고든 장의 라그랑지안 밀도가 주어져 있습니다.
- L = (1/2) * (∂ₜΦ)² - (1/2) * (∇Φ)² - (1/2) * m²Φ² = 0
2. 오일러-라그랑주 방정식 (Euler-Lagrange Equation): 라그랑지안 밀도를 이용하여 오일러-라그랑주 방정식을 적용합니다.
- ∂µ [∂L / ∂(∂µΦ)] - ∂L / ∂Φ = 0
3. 클라인-고든 방정식 유도: 오일러-라그랑주 방정식에 라그랑지안 밀도를 대입하여 클라인-고든 방정식을 유도합니다.
- [∂µ∂µ - m²] Φ = 0
이미지의 핵심:
- 클라인-고든 방정식은 라그랑지안 밀도와 오일러-라그랑주 방정식을 통해 유도될 수 있습니다.
- 이 과정은 고전 장론에서 양자 장론으로 넘어가는 중요한 단계 중 하나입니다.
클라인-고든 방정식의 유도 과정에 대해 더 자세히 알고 싶으신가요? 각 단계별 계산 과정이나 물리적 의미에 대해 설명해 드릴 수 있습니다.

사용자 지시사항은 "양자장론 강의 영상 링크 활용"입니다.
파일 내용 정리:
- 날짜 및 시간: 2023-08-25 16:00:00
- 강의 제목: 양자장론 | 클라인-고든 방정식 (Quantum field theory | Klein Gordon equations)
- 강사: probal chakraborty (과학 및 수학) (science and maths)
- 내용 설명: 클라인-고든 방정식 | 양자장론 클라인-고든 방정식 해 클라인-고든 방정식 (potential 포함) (klein gordon equations | quantum field theory klein gordon equation solution klein gordon equation with potential)
- 상품 개수: 32개
- 추가 강의: 에너지 및 파동 함수 이론에 대한 1차 보정 | 섭동 이론 | 시간 독립적 (First order correction to energy and wave function theory | Perturbation theory | time independent)
- 관련 영상:
- 3I/ATLAS는 고대 텍스트에서 예측되었습니까? (Was 3I/ATLAS Predicted in Ancient Texts?) - 심우주 꿈 (Deep Space Dreams)
- 제임스 웹은 너무 깊은 우주를 들여다봤습니다… 그가 발견한 것은 충격적입니다 (James Webb Looked Too Deep Into Space… What It Found Is Shocking) - 늦은 과학 (Late Science)
- 20분 안에 배우는 장 이론 기초! (Field Theory Fundamentals in 20 Minutes!) - Elliot과 함께하는 물리학 (Physics with Elliot)
- 왜 QFT가 필요한가 & 클라인-고든 라그랑지안 밀도 유도 (Why we need QFT & Derivation of Klein-Gordon Langriangian Density) - Nick Heumann 대학 (Nick Heumann University)
- 현실을 위한 전투: 끈 이론 vs 양자장론 (The Battle for REALITY: String Theory vs Quantum Field Theory) - Arvin Ash
- 상대론적 양자 파동 (클라인-고든 방정식) (Relativistic Quantum Waves (Klein-Gordon Equation)) - Richard Behiel
- 왜 그렇게 많은 억만장자들이 조용히 싱가포르로 이민하는가 | AB 설명 (Why So Many Billionaires Are Quietly Immigrating to Singapore | AB Explained) - 아시안 보스 (Asian Boss)
- 유클리드는 실제로 무엇을 하고 있었는가? | @bensyversen의 게스트 비디오 (What was Euclid really doing? | Guest video by @bensyversen) - 3Blue1Brown
- 양자장: 물리학에서 가장 아름다운 이론! (Quantum Fields: The Most Beautiful Theory in Physics!) - Arvin Ash
- 로마에서 가장 위험한 에스컬레이터 (The Most Dangerous Escalator in Rome) - Veritasium
- 미분 방정식, 여행자 가이드 | DE1 (Differential equations, a tourist's guide | DE1) - 3Blue1Brown
- 양자장론을 더 잘 시각화하기 (A BETTER Visualization of Quantum Field Theory) - ZAP 물리학 (ZAP Physics)
- 연산자 및 스핀 1/2 측정 양자 물리학 (operator and spin 1/2 measurement quantum physics) - probal chakraborty (과학 및 수학) (science and maths)
- 양자장론 (Quantum Field Theory) - Nick Heumann 대학 (Nick Heumann University)
사용자 지시에 따른 활용:
제공된 양자장론 강의 영상 링크와 관련된 정보들을 항목별로 정리하여 제시했습니다. 이 정보들을 바탕으로 양자장론 학습에 활용하거나, 관련 영상들을 찾아볼 수 있습니다. 또한, 강의 내용과 관련된 추가 정보들을 검색하여 학습 효과를 높일 수 있습니다.
더 궁금한 점이나 필요한 정보가 있으시면 언제든지 말씀해주세요.
(추가 정보 : 인지부조화의 세상에서 진실을 어떻게 찾아 바르게 나아갈것인가! 고유하고 순수한 자기만의 생각을 찾기를 .... GITMO에는 진실이 있다고 생각한다)
Pay attention to Pete Hegseth’s reaction when a reporter asked President Trump whether the “Charlie Kirk assassin,” Tyler Robinson, was working alone.
@TrumpExplicit ✅️
⬇️CLICK HERE AND JOIN NOW⬇️
➡️ GITMO TV LIVESTREAM
➡️ GITMO TV LIVESTREAM
⚠️You’ve been warned.⚠️